論文一覧へ戻る 原文PDFを見る
Check for updates バッジ

OPEN ACCESS

Frontiers in Psychology / Original Research / Published: 2021-09-29 / DOI: 10.3389/fpsyg.2021.732865

西洋クラシック音楽と中国音楽伝統における音色の感情知覚への影響のクロスカルチュラル分析

原題: A Cross-Cultural Analysis of the Influence of Timbre on Affect Perception in Western Classical Music and Chinese Music Traditions

編集: Petri Laukka(Stockholm University, Sweden)

査読: Imre Lahdelma(Durham University, United Kingdom), Diana Mary Blom(Western Sydney University, Australia)

責任著者: Xin Wang / metero_wx@cuc.edu.cn

Specialty section: Emotion Science, Frontiers in Psychology

Received: 2021-06-29 / Accepted: 2021-09-01 / Published: 2021-09-29

引用表記: Wang X, Wei Y, Heng L and McAdams S (2021) A Cross-Cultural Analysis of the Influence of Timbre on Affect Perception in Western Classical Music and Chinese Music Traditions. Front. Psychol. 12:732865.

抄録. 音色は感情知覚に大きな影響を及ぼす心理物理的手がかりの一つであるが、クロスカルチュラル研究の対象としては十分に検討されてこなかった。本研究の目的は、クロスカルチュラルな視点を用いて、西洋クラシック音楽と中国クラシック音楽が伝える感情知覚に対する音色の影響を調べることである。

西洋音楽家、西洋非音楽家、中国音楽家、中国非音楽家の 4 群(各 40 名)に対し、48 の音楽抜粋を提示した。刺激は、価数-覚醒空間の各感情象限から、中国音楽 1 曲と西洋クラシック音楽 1 曲ずつ、怒り・幸福・平穏・悲しみを表す抜粋を選び、それらを 6 種の楽器(二胡、笛子、琵琶、ヴァイオリン、フルート、ギター)で演奏したものである。

参加者は、価数、緊張覚醒、エネルギー覚醒、好み、親近性を 1 から 9 の連続尺度で評定した。ANOVA の結果、参加者の文化的背景は音楽的背景よりも感情知覚に大きな影響を及ぼし、音楽家は非音楽家よりも、知覚された尺度(価数)と感じられた尺度(好み)とをより明確に区別することが示された。

さらに、感情知覚と音響特徴の関係を調べるために線形 partial least squares regression を適用した。価数とエネルギー覚醒に重要な音響特徴は類似しており、主としてスペクトル変動、時間包絡の形状、ダイナミックレンジに関係していた。緊張覚醒に重要な音響特徴は、スペクトル包絡の形状、ノイズ性、時間包絡の形状を表していた。楽器間で感情知覚評定が似る理由は、特定の楽器の物理特性と演奏技法によって生じる類似した音響特徴にあると考えられる。

キーワード: 音色、感情知覚、クロスカルチュラル、価数、緊張覚醒、エネルギー覚醒

序論

音楽は感情コミュニケーションの重要な媒体である。音楽感情の表出と知覚は、心理物理的手がかりと文化的手がかりに関係している(Balkwill and Thompson, 1999; Balkwill et al., 2004)。心理物理的手がかりとは、音高、強弱、テンポ、リズム、楽器(音色)、調性、和声といった、通常は従来の楽譜表記で示される音楽要素を指す。心理物理的手がかりの一部は普遍的であり、異なる文化背景の個人間における感情コミュニケーションの基盤となる。これに対して文化的手がかりとは、音の終止のさせ方や特定のアーティキュレーションのように、特定の音楽文化の発展の中で形成された音楽表現を指す(Thompson and Balkwill, 2010)。人は長期的な聴取環境の中で特有の表現規則を学び、それらの表現規則と感情との結びつきを構築する必要がある。心理物理的手がかりと文化的手がかりが文化をまたいで知覚感情にどのような共通性と差異をもたらすかは、依然として学術的関心の対象である(Fritz et al., 2009)。

研究者は通常、自己報告によって知覚感情を測定するために感情モデルを用いる。主な感情モデルにはカテゴリーモデルと次元モデルがある。次元モデルは連続的な知覚水準を記述でき、回帰分析などを通じて感情と音響特徴との関連を立てるのに便利である。最も著名な次元モデルは Russell(1980)の円環モデルに基づくもので、価数と覚醒という 2 つの中核次元を組み合わせる(Schubert, 1999)。そのほか引用頻度の高い二次元モデルとして、肯定的感情-否定的感情モデル(Watson et al., 1988)と、緊張覚醒(緊張-弛緩)およびエネルギー覚醒(覚醒-疲労)モデル(Thayer, 1986)がある。二次元モデルの欠点から、長年にわたって第 3 の次元を加える提案がなされてきた。音楽感情研究において最も説得力がある三次元モデルは、Russell(1980)と Thayer(1986)の二次元モデルを組み合わせたものであり、価数、緊張覚醒、エネルギー覚醒を含む。Schimmack and Grob(2000)は、自らの研究において二次元モデルでは感情データの構造を十分に捉えられず、三次元モデルの方がより適合すると示している。彼らは神経生理学研究に基づき、緊張覚醒の程度は活性化システムの活動を、エネルギー覚醒の程度は覚醒システムの活動を反映すると提案した。その後、多くの研究者がこの結論を確認し、音楽感情知覚実験にこのモデルを適用してきた(Ilie and Thompson, 2006; Vuoskoski and Eerola, 2010; Zentner and Eerola, 2010; McAdams et al., 2017)。本論文でも三次元感情モデルを採用する。

1930 年代以来、研究者は心理物理的手がかりと感情知覚との関連を探ってきた。心理物理的手がかりとしては、ラウドネス(Leman et al., 2005)やラフネス(Farbood and Price, 2014)などの知覚要素、そして旋法(Fang et al., 2017)、和声(Gabrielsson and Lindström, 2010)、テンポ(Baraldi et al., 2006; Zhang and Pan, 2017)などの構造要素が主に検討されてきた。音楽家は特定の感情を表現するために異なる楽器を選ぶが、音色が感情知覚へ与える影響については 1990 年代までほとんど研究されていなかった。研究者は、音色が知覚される離散的感情と相関することを確認している。Behrens and Green(1993)の研究では、参加者が 4 種の異なる音色で演奏されたソロ即興から 3 種の感情内容を同定でき、その判断は音色だけでなく表出された感情にも依存することが示された。Wu et al.(2014)は、西洋の持続系楽器について、8 種の感情表出を対比較法で比較した。その結果、ヴァイオリン、トランペット、クラリネットは幸福感情の表現に最も適し、ホルンとフルートは悲しみを伝えやすいことが示された。また、その論文は明るさ、アタック時間、奇数倍音-偶数倍音エネルギー比が感情知覚と高く相関することも確認している。続いて、西洋の非持続系楽器を対象とした研究では、ギター、ハープ、ピチカート・ヴァイオリンが負の感情と強く関連することが示された。減衰勾配と倍音密度は、西洋非持続系楽器の感情知覚における有意な音色特徴であった(Chau et al., 2015)。

音色と次元的感情との関係が注目を集めたのは 2012 年からである。Eerola et al.(2012)は、持続時間、音高、強さを同一にした孤立楽器音に対する感情評定と感情的非類似度評定を集めるため、三次元感情モデルを用い、音色に関連する音響特徴と知覚された感情評定との関係を探った。その研究は、価数とエネルギー覚醒が少数の音響特徴の線形結合によって予測できることを示した。McAdams et al.(2017)は、Eerola et al.(2012)を拡張し、音色と音高域が知覚感情評定に果たす役割を検討した。彼らは、西洋楽器の全音域にわたり、D# 音高クラスを forte で演奏した 137 音を用い、さまざまな音色特徴が 3 つの知覚感情評定の説明に重要であることを示した。さらに、各感情次元は互いに異なる音色特徴の集合によって担われていた。これまでの研究の大半は、西洋音楽および西洋の参加者における感情知覚に焦点を当てており、非西洋楽器での感情知覚研究は少ない。中国文化に関連する研究として、Liu and Liu(2011)は古筝と塤を用いて中国古典音楽を演奏し、感情と生理指標との関係を調べた。その結果、異なる音色の音楽が異なる感情を有効に誘発できることが見いだされた。

手がかり冗長モデルは、音楽と感情の関係に関するクロスカルチュラル研究に基づいて提案された(Balkwill and Thompson, 1999)。多くのクロスカルチュラル研究は、参加者が馴染みのない音楽によって喚起される意図感情に対し、テンポやリズム(Balkwill et al., 2004; Fritz et al., 2009; Zacharopoulou and Kyriakidou, 2009; Laukka et al., 2013; Midya et al., 2019)、複雑さ(Balkwill et al., 2004)、和声的不協和(Athanasopoulos et al., 2021; Lahdelma et al., 2021)、調性(Laukka et al., 2013; Egermann et al., 2015; Raman and Dowling, 2017; Midya et al., 2019)といった心理物理的手がかりに注意を向けることで感受性を示すことを確認してきた。音色も、クロスカルチュラル研究において感情知覚に大きな影響を与える心理物理的手がかりの一つであるが、この点を直接扱った研究は多くない。Hu and Yang(2017)は、西洋および中国のポップソングを対象にした感情回帰モデルに基づき、どの音響特徴が知覚感情評定を予測するかを検討した。その結果、音色特徴が価数と覚醒の両方の予測に有効であることが示された。Heng(2018)は、西洋芸術音楽と中国音楽伝統において、演奏者と聴取者の間の感情伝達に音色がどう機能するかを調べた。その研究では、異なる音楽文化の訓練を受けた参加者は、意図された感情を有意に異なって同定し、中国参加者は中国楽器奏者・西洋楽器奏者の両方の演奏が伝える感情判断でより高い正確性を示した。刺激と参加者が同一文化に由来する場合、参加者は心理物理的手がかりと文化的手がかりの双方を利用できるため、音楽感情をより容易に解読できる。この現象は内集団優位(in-group advantage)と呼ばれ、特定の文化・社会的背景に対する内集団の親近性と関連づけられている(Elfenbein and Ambady, 2002; Argstatter, 2015)。

本研究は、西洋クラシック音楽と中国クラシック音楽が伝える感情知覚に対する音色の影響を、クロスカルチュラルな視点から検討した先行研究を拡張することを目的とし、次の 4 つの研究課題に答える。

  1. どの楽器が類似した感情知覚を伝えるのか。同じ楽器カテゴリの楽器か、それとも同じ文化に属する楽器か。
  2. 参加者の文化的背景と音楽的背景のどちらが感情知覚により大きな影響を及ぼすのか。
  3. 好みと親近性は感情知覚に影響するのか。
  4. 本研究のクロスカルチュラル・データセットに基づき、感情の各次元を知覚するのに最も有効な音響特徴は何か。

第 1 の課題に対して、本実験では 6 種の楽器を含めた。すなわち、中国の擦弦楽器である二胡、西洋の擦弦楽器であるヴァイオリン、中国の撥弦楽器である琵琶、西洋の撥弦楽器であるギター、中国の気鳴楽器である笛子、西洋の気鳴楽器であるフルートである。これら 6 楽器が伝える 4 種の感情知覚の違いを包括的に調べるため、西洋クラシック音楽と中国クラシック音楽という異なる文化的・音楽的背景をもつ参加者を実験に含めた。

第 2 の課題に対して、4 つの listener group(LG)を設定した。すなわち、カナダ出身で西洋クラシック音楽の訓練を受けた参加者(Western musicians)、中国出身で中国クラシック音楽の訓練を受けた参加者(Chinese musicians)、カナダ出身の非音楽家(Western nonmusicians)、中国出身の非音楽家(Chinese nonmusicians)である。われわれは、とくに中国楽器で演奏された中国音楽について、中国聴取者と西洋聴取者の間に、内集団優位のために有意な知覚差が生じるだろうと仮定した。第 2 の仮説として、音楽家は非音楽家よりも、意図された感情に照らしてより正確に感情を知覚するだろうと予測した。

第 3 の課題に対して、先行研究では、馴染みのある音楽は快感情の増大と低い緊張覚醒ポテンシャルを誘発することが示されている(McLachlan et al., 2013; Daimi et al., 2020)。さらに、音楽への親近性が高いほど、快い音楽はより好まれる。したがって、中国参加者は、親近性と好みのために、中国楽器で演奏された中国音楽に対して、西洋参加者よりも高い価数スコアと低い緊張覚醒スコアを与えるだろうと仮定した(逆の組み合わせについても同様)。

第 4 の課題に対して、主として音色とアーティキュレーションに関連する音響特徴を抽出し、線形 partial least squares regression(PLSR; McAdams et al., 2017; Lembke et al., 2019)を通じて、音色特性と知覚感情評定との関係を調べた。

材料と方法

感情評定の聴取実験

参加者

この聴取実験には 160 名が参加した。各 listener group は 40 名で構成され、西洋音楽家は 18〜43 歳、女性 28 名、西洋非音楽家は 19〜37 歳、女性 27 名、中国音楽家は 18〜24 歳、女性 28 名、中国非音楽家は 18〜23 歳、女性 23 名であった。音楽家は、西洋伝統または中国伝統において 5 年を超える正式な音楽訓練を受けた者として分類した〔西洋: M = 13.53, SD = 6.71、中国: M = 9.62, SD = 3.43; Zhang et al., 2020〕。非音楽家は、正式な音楽訓練が 1 年未満の者として分類した〔西洋: M = 0.18, SD = 0.42、中国: M = 0.28, SD = 0.42〕。西洋音楽家は中国音楽家よりも、正式訓練年数が有意に長かった〔t(78) = 2.51, p = 0.016〕。西洋非音楽家と中国非音楽家の間には、正式訓練年数の有意差はなかった〔t(78) = 0.91, p = 0.37〕。

中国参加者は北京で募集され、中国で育った大学生であった。中国音楽家は全員、西洋調性音楽に関する視唱・聴音を専門的に学んでいた。中国非音楽家は全員、ポップ、ロック、クラシック、ブルース、R&B など、さまざまな種類の西洋音楽を聴いていた。そのうち 16 名はコンサートホールで西洋クラシック音楽を聴いたことがあり、28 名は何か他のことをしながら受動的に西洋クラシック音楽を聴いたことがあった。カナダで育った西洋参加者は、McGill University の学生コミュニティを通じて Montréal で募集された。西洋参加者のうち、中国音楽を能動的または受動的聴取における上位 3 好みジャンルとして挙げた者はいなかった。すべての参加者は、125 Hz から 8 kHz までオクターブ間隔の純音聴力検査において 20 dB HL の聴力基準を満たした(Martin and Champlin, 2000; ISO 389-8, 2004)。参加者はインフォームド・コンセント書に署名し、参加報酬を受け取った。

刺激

価数-覚醒空間の感情象限を代表する具体的感情として、怒り、幸福、平穏、悲しみの 4 感情を選んだ。各感情につき 2 つの音楽抜粋、すなわち中国音楽 1 曲と西洋クラシック音楽 1 曲を、先行研究(Wang, 2018)に基づいて選定した。譜例は Supplementary Figure S1 に示されている。刺激は、6 種類の楽器の音楽家に 4 種類の感情でこれらの抜粋を解釈演奏してもらうことで録音した。その結果、8 つの音楽抜粋と 6 種の楽器による計 48 刺激を収録した。

中国楽器で演奏された刺激は北京で、西洋楽器で演奏された刺激は Montréal で録音した。録音環境の一貫性を確保するため、北京の 4 録音スタジオと Montréal の 3 録音スタジオについて、それぞれ残響時間 T60(室内の音が 60 dB 減衰するのに要する時間)を測定し、残響時間が最も近い 2 つのスタジオを選んだ。各オクターブ帯域における 2 録音スタジオの残響時間 T60 を表1に示す。

録音には Neumann U87 マイクロフォン(Georg Neumann GmbH, Berlin, Germany)を用い、演奏者から 70 cm の位置に配置した。全刺激は 44.1 kHz、16 bit 振幅分解能でサンプリングした。演奏者は、テンポを除き、異なる意図感情を表現するために異なる技法を用いることが許された。テンポは各抜粋の楽譜上のテンポ指示によって決定された。演奏者は全員、専門音楽院の出身であり、各楽器につき 3 名ずつ録音した。中国の演奏者が対応楽器を学んだ期間の平均は 16.22 年(SD = 4.73)、カナダの演奏者の平均は 13.22 年(SD = 2.63)であった。その後、中国人音楽家 1 名と西洋音楽家 2 名が、各楽器の最良バージョンを本実験用として選定した。ラウドネスが知覚結果に及ぼす影響を避けるため、すべての刺激はまずラウドネス測定アルゴリズム(ITU-R BS.1770-4, 2015)に基づいて較正し、その後、2 名のボランティアが耳で微調整した。

表1. 2つの録音スタジオの残響時間 T60
録音スタジオ 125 Hz 250 Hz 500 Hz 1 kHz 2 kHz 4 kHz 8 kHz 16 kHz
Montréal T60(s) 0.330 0.323 0.343 0.290 0.318 0.325 0.295 0.235
Beijing T60(s) 0.330 0.333 0.346 0.321 0.308 0.327 0.313 0.218
差分 (%) 0.00 3.08 1.01 9.52 -3.08 0.54 5.60 -8.05

注: 第1行の周波数は各オクターブ帯域の中心周波数である。

装置

カナダでは、刺激は Mac Pro(Apple Computer, Inc., Cupertino, CA, United States)に保存し、Grace Design m904(Grace Digital Audio, San Diego, CA, United States)ステレオ・モニター・コントローラ経由で Sennheiser HD650 Pro ヘッドホンに接続して再生した。参加者は IAC model 120 act-3 double-wall sound-isolation booth(IAC Acoustics, Bronx, NY, United States)内で個別に実験を行った。中国では、刺激は MacBook Pro(Apple Computer, Inc., Cupertino, CA, United States)に保存し、Sennheiser HD650 Pro ヘッドホンから直接再生した。参加者は防音された聴取室で個別に実験を行った。両国で音量の一貫性を確保するため、カナダ実験では Brüel and Kjær Type 4153 artificial ear と Brüel and Kjær Type 2205 sound level meter(Brüel & Kjær, Nærum, Denmark)を、中国実験では BSWA BHead230 artificial head(BSWA Technology, Beijing, China)と NTi XL2 sound level meter(NTi Audio, Schaan, Liechtenstein)を用いた。音圧レベルは約 71 dB SPL(A 特性)であった。実験セッションは PsiExp computer environment(Smith, 1995)でプログラムした。

手続き

実験手順を参加者に説明し、本試行の前に 4 試行の練習を行ってインターフェース操作に慣れてもらった。参加者は、価数、緊張覚醒、エネルギー覚醒、好み、親近性を評定した。インターフェースは、Figure 1 に示すように、それぞれ明確なラベルをもつ 5 本の 9 段階 analogical-categorical scale(Weber, 1991)で構成された。最初の 3 評定は三次元感情モデルによる知覚感情を測定した。すなわち、価数(不快-快)、緊張覚醒(弛緩-緊張)、エネルギー覚醒(疲労-覚醒)である。参加者には、自分が感じている感情ではなく、音楽が表現しようとしている感情を判断するよう教示した。後の 2 評定は、知覚感情評定への影響を検討するための好み(嫌い-好き)と親近性(馴染みがない-馴染みがある)であった。親近性評定の影響を減らすため、各試行の再生回数は最大 3 回とし、評定 5 が中立値であることも伝えた。この実験では音楽抜粋が 8 種しかないため、親近性は各音楽抜粋が初めて提示されたときだけ評定した。48 刺激は擬似ランダム化され、同じ抜粋を異なる楽器で演奏したものが連続して提示されないようにした。各試行の評定を終えると、参加者は “next” ボタンをクリックして次の試行へ進んだ。再テスト信頼性を測るため、30 分の休憩後に実験をもう一度行ってもらった。休憩時間中には、人口統計質問紙に回答してもらった。

図1 聴取テストのインターフェース
図1. 聴取テストのインターフェース。

音響特徴の分析

48 の実験刺激から、音色に関するいくつかのスペクトル特徴、時間特徴、スペクトル時間特徴(McAdams et al., 1995)を抽出し、それらが知覚感情評定へ及ぼす影響を探った。加えて、異なる演奏技法によって生じるアーティキュレーションを記述する可能性のある特徴も抽出した。これらの特徴を表2に示す(Alías et al., 2016; Sharma et al., 2019)。

MIRToolbox(Lartillot and Toiviainen, 2007)と Timbre Toolbox(Peeters et al., 2011)を用いて音響特徴を抽出した。Timbre Toolbox は個々の音符に対して正確に機能するが(Kazazis et al., 2017)、とくに時間特徴に関する一部のアルゴリズムは、個々の音符を先に抽出しない限り旋律には適合しなかった。そのため、音響特徴の大半は MIRToolbox によって計算し、周波数変調、振幅変調、等価矩形帯域幅(ERB)入力表現上で計算したフレームエネルギーのみ Timbre Toolbox を用いた。ERB は、基底膜応答に基づいて聴覚フィルタをモデル化するため Moore and Glasberg(1983)が提案したものである。

スペクトル計算にはパワースペクトル推定を用い、short-time Fourier transform(STFT)の長さを 8,192 サンプルポイント、ハン窓 50 ms、隣接フレーム間の重なり 50% とした(Lartillot, 2019)。最終的なスペクトルは線形振幅スペクトルである。すべてのスペクトル特徴とスペクトル時間特徴は、このスペクトルおよび各特徴の時系列に基づいて抽出した(Lartillot and Toiviainen, 2007)。各特徴を代表する統計量として平均値を用いたが、これは MIRToolbox の既定統計法である。

時間特徴には時間包絡が必要であり、これは Hilbert 変換によって計算し、無限インパルス応答の自己回帰フィルタで平滑化した(Lartillot, 2019)。時間包絡に基づいて各音符の onset を推定し、音符を分離したうえで、アタック時間、減衰時間、有効持続時間を抽出した。これらの特徴には平均値を代表値として用いた。さらに、各音符の onset に基づいて event density も抽出し、その平均値と SD を計算した。

ERB モデル出力の frame energy は音のダイナミクスを表すために選択した。人間の聴覚系の周波数分解能に対応するよう ERB フィルタでスペクトルを分割し、そのエネルギーを計算した。Timbre Toolbox において ERB フィルタを実装する一方法は gammatone filter bank である(Peeters et al., 2011)。Frame energy に対しては、STFT 入力表現を用い、長さ 8,192 サンプルポイント、23.2 ms の Hann 窓、25% オーバーラップとした。時変特徴の統計値として、Timbre Toolbox の既定法である中央値と四分位範囲を用いた(Peeters et al., 2011)。

周波数変調と振幅変調は、Timbre Toolbox における ADSR モデルの持続部分に対して計算されるため(Zhang and Bocko, 2015)、まず MIRToolbox により各音の onset を得る必要があった。得られた各音の結果を平均して代表値とした。

表2. 音色および演奏技法に関連する音響特徴
カテゴリ 略号 音響特徴 定義 説明
スペクトルSpecCentスペクトル重心スペクトルの幾何学的中心スペクトル包絡の形状を記述し、明るさや豊かさ知覚に関連平均
スペクトルSpecBrigスペクトル明るさカットオフ周波数より上のエネルギー量スペクトル包絡の形状を記述し、明るさや豊かさ知覚に関連平均
スペクトルSpecSpreadスペクトル広がり平均値周辺のスペクトルの SDスペクトル包絡の形状を記述平均
スペクトルSpecSkewスペクトル歪度平均値周辺におけるスペクトルの非対称性スペクトル包絡の形状を記述平均
スペクトルSpecKurtスペクトル尖度平均値周辺におけるスペクトルの平坦さスペクトル包絡の形状を記述平均
スペクトルSpecFlatスペクトル平坦度幾何平均と算術平均のエネルギースペクトル値の比音のノイズ性を推定平均
スペクトルSpecEntrスペクトルエントロピースペクトルの Shannon エントロピー音のノイズ性を推定平均
スペクトル時間SpecFluxスペクトルフラックス連続フレーム間のスペクトル距離時間に伴うスペクトル変動の度合いを記述平均
時間ZcrRateゼロ交差率信号値がゼロを横切る回数ノイズ性の指標であり、明るさ知覚にも関連平均
時間AttTimeアタック時間開始からアタック終端までの持続時間時間包絡の形状を記述し、インパルス的/持続的特徴に関連平均*
時間DecTime減衰時間減衰部分の持続時間時間包絡の形状を記述し、インパルス的/持続的特徴に関連平均*
時間EffeDur有効持続時間エネルギー包絡が閾値を上回る時間スタッカート/レガートを推定平均*
時間EventDenイベント密度1 秒あたりに検出された音符数テンポとアーティキュレーションを推定平均*, SD*
時間FreMod周波数変調エネルギー変調の周波数ビブラートやトレモロを推定平均*
時間AmpMod振幅変調エネルギー変調の振幅深さビブラートやトレモロを推定平均*
ダイナミクスFEngERBERB のフレームエネルギーgammatone filter を通した ERB のフレームエネルギー音エネルギーを推定し、ラウドネスに関連中央値, IQR

注: * は、各音の onset を先に計算して分離した後に音響特徴を抽出し、統計値を得たことを示す。

結果

まず、結果の妥当性を確認するために test-retest 信頼性と Cronbach の alpha 信頼性検定を行った。各参加者について 2 回記録したデータの test-retest 結果から、すべての尺度で良好な一貫性が示された。すなわち、displeasure/pleasure で r(7678) = 0.81, p < 0.001、relaxation/tension で r(7678) = 0.61, p < 0.001、tired/awake で r(7678) = 0.78, p < 0.001、dislike/like で r(7678) = 0.67, p < 0.001 であった。各参加者の反復測定結果を平均し、標準化項目にもとづく Cronbach の alpha(内的一貫性の平均)と intraclass correlation coefficient(ICC)を信頼性指標として算出した(Koo and Li, 2015)。その結果、160 名の参加者全体で全尺度に非常に高い内的一貫性が認められた。Cronbach の alpha は、displeasure/pleasure が 0.996、relaxation/tension が 0.983、tired/awake が 0.998、dislike/like が 0.959、unfamiliar/familiar が 0.894 であった。同じ尺度に対し、絶対一致定義による two-way mixed-effects model の平均値 ICC は、それぞれ 0.995、0.976、0.997、0.925、0.838 であり、同様の結果であった。以下ではまず聴取結果を示し、その後に音色関連音響特徴を用いた PLSR 分析を述べる。

聴取結果

聴取テストは、1 つの被験者間要因と 4 つの反復測定要因からなる 4 × 2 × 4 × 2 × 3 の mixed-measures design であった。被験者間要因は 4 つの LG、すなわち Western nonmusicians、Western musicians、Chinese nonmusicians、Chinese musicians であった。反復測定要因には、2 つの音楽文化の旋律(MC: Western, Chinese)、4 つの意図音楽感情(ME: angry, happy, peaceful, sad)、2 つの楽器文化(ICU: Western, Chinese)、3 つの楽器カテゴリ(ICA: bowed chordophones, plucked chordophones, aerophones)が含まれた。変数群は 192 であり、各群ごとの正規分布性を検討するには適さなかった。Howell(2012)は、サンプルサイズが等しい場合、最大分散が最小分散の 4 倍を超えなければ ANOVA は妥当である可能性が高いと述べている。本実験では、価数、緊張覚醒、エネルギー覚醒、好み、親近性に対するその比はそれぞれ 3.78、2.12、2.99、3.96、1.88 であった。したがって、2 つの被験者間要因(LG, MC)と 3 つの被験者内要因(ME, ICA, ICU)をもつ mixed five-way ANOVA を実施した。被験者内要因の効果分析では、球面性違反による F 統計量の膨張を抑えるため、Greenhouse-Geisser(ε < 0.75)または Huynh-Feldt(ε ≥ 0.75)の epsilon を適用した。さらに Bonferroni 補正付き事後 pairwise comparison を行った。効果量には partial eta squared(η²p)を用いた(Cohen, 1973)。すべての統計検定で両側 p 値を用い、α = 0.05 とした。補足表 S1 には各条件の記述統計量(平均と SD)、補足表 S2 には ANOVA の完全結果を示した。

図2 楽器カテゴリ・楽器文化・旋律文化の三要因交互作用
図2. 楽器カテゴリ、楽器文化、旋律の音楽文化の三要因交互作用の結果。価数(左上)、緊張覚醒(右上)、エネルギー覚醒(下中央)を示す。

知覚感情評定に対する音色の影響

五要因交互作用は、3 つの知覚感情尺度すべてで統計的に有意であったが、効果量は比較的小さかった(エネルギー覚醒、緊張覚醒、価数に対して、それぞれ η²p = 0.039, 0.031, 0.031)。各尺度・各意図感情ごとに別々の四要因 ANOVA を行ったところ、各尺度について多重解析補正を施した後、有意であったのはエネルギー尺度における sad の四要因交互作用のみであった(補足表 S3)。

本研究では主として、知覚感情評定に対する楽器カテゴリ、楽器文化、listener group の交互作用に関心があったため、以下ではこれら要因を含む三要因交互作用に焦点を当てる。楽器カテゴリの主効果、楽器文化の主効果、およびその交互作用は、すべての尺度で有意であった。

図2に示すように、楽器カテゴリ、楽器文化、旋律の音楽文化の三要因交互作用は、価数とエネルギー覚醒では有意であったが、緊張覚醒では有意でなかった。図2の各パネルでは、中国楽器が左側、西洋楽器が右側に配置されている。各データ点は、それぞれの文化に属する楽器カテゴリが、中国旋律(実線)または西洋旋律(破線)を演奏したときの平均値を示す。価数について、各旋律文化ごとに二要因 simple effect analysis を行ったところ、中国音楽では楽器カテゴリと楽器文化の間に有意な交互作用があった〔F(1.94, 301.95) = 17.06, ε = 0.97, p < 0.001, η²p = 0.05〕が、西洋音楽では有意ではなかった〔F(1.85, 288.12) = 2.24, ε = 0.92, p = 0.11〕。中国音楽に対する事後比較では、有意差があったのはヴァイオリンと二胡のみであった(Z = 0.30, p < 0.001)。西洋音楽では、同じ楽器カテゴリ内で西洋楽器の平均価数評定がすべて中国楽器より高かった。全体として、撥弦楽器と気鳴楽器で、中国楽器と西洋楽器の差が最も大きかった。

エネルギー覚醒について、各旋律文化ごとに二要因 simple effect analysis を行うと、中国音楽〔F(1.90, 296.59) = 127.24, ε = 0.95, p < 0.001, η²p = 0.45〕と西洋音楽〔F(1.86, 289.92) = 2.24, ε = 0.93, p < 0.001, η²p = 0.43〕の両方で、楽器カテゴリと楽器文化の交互作用が有意であった。中国音楽では、すべての楽器カテゴリで平均評定差が有意であり、ヴァイオリンと二胡(Z = 0.18, p < 0.001)、琵琶とギター(Z = 0.89, p < 0.001)、笛子とフルート(Z = 0.64, p < 0.001)であった。西洋音楽では、ヴァイオリンと二胡(Z = 0.41, p < 0.001)、琵琶とギター(Z = 0.66, p < 0.001)では有意差が認められたが、笛子とフルートでは認められなかった。中国音楽か西洋音楽かに関わらず、緊張覚醒評定はギターが最も低く、フルートが次に低かった。他の 4 楽器の評定は互いに類似し、ギターとフルートより高い緊張覚醒を示した。中国音楽では琵琶と笛子の評定が他の 4 楽器より有意に高かったが、西洋音楽ではこれら 2 楽器は他楽器と有意に異ならなかった。

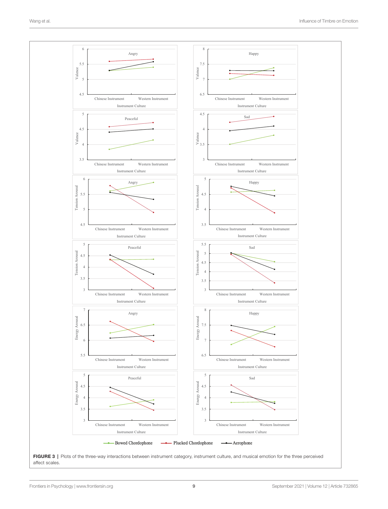
図3 楽器カテゴリ・楽器文化・意図音楽感情の三要因交互作用
図3. 楽器カテゴリ、楽器文化、音楽感情の三要因交互作用を、3 つの知覚感情尺度について示したもの。

図3は、楽器カテゴリ、楽器文化、意図音楽感情の三要因交互作用が知覚感情平均評定に与える結果を示す。価数に関して、各感情ごとに simple effect analysis を行ったところ、angry 音楽〔F(1.96, 305.78) = 4.54, ε = 0.98, p = 0.012, η²p = 0.03〕と happy 音楽〔F(2, 312) = 24.45, p < 0.001, η²p = 0.14〕では、楽器カテゴリと楽器文化の交互作用が有意であったが、peaceful〔F(2, 312) = 2.69, p = 0.069〕と sad〔F(2, 312) = 1.22, p = 0.27〕では有意ではなかった。Angry 音楽では、ヴァイオリンと二胡(Z = 0.12, p = 0.039)、フルートと笛子(Z = 0.29, p < 0.001)で有意差があり、琵琶とギターでは有意差がなかった。Happy 音楽では、ヴァイオリンと二胡のみで有意差があった(Z = 0.38, p < 0.001)。Peaceful と sad では、同じ楽器カテゴリにおいて、西洋楽器の平均評定が中国楽器よりすべて高かった。全体として二胡は、すべての楽器の中で最も低い(最も負の)価数を与えられた。

緊張覚醒では、angry〔F(2, 312) = 72.39, p < 0.001, η²p = 0.32〕、happy〔F(2, 312) = 39.94, p < 0.001, η²p = 0.20〕、peaceful〔F(1.97, 207.64) = 68.32, ε = 0.99, p < 0.001, η²p = 0.30〕、sad〔F(2, 312) = 46.08, p < 0.001, η²p = 0.23〕のすべてで、楽器カテゴリと楽器文化の交互作用が有意であった。全感情においてギターの評定は最も低く、フルートが次に低かった。中国楽器同士の評定差は比較的小さい一方、西洋楽器同士の差は有意に大きかった。西洋楽器の緊張覚醒の高い順は、全感情でヴァイオリン、フルート、ギターであった。西洋楽器は緊張覚醒評定への影響が最大であった。

エネルギー覚醒では、angry〔F(1.91, 298.39) = 58.27, ε = 0.96, p < 0.001, η²p = 0.32〕、happy〔F(2, 312) = 131.95, p < 0.001, η²p = 0.46〕、peaceful〔F(1.97, 207.64) = 88.92, p < 0.001, η²p = 0.36〕、sad〔F(2, 312) = 55.09, p < 0.001, η²p = 0.26〕のすべてで、楽器カテゴリと楽器文化の交互作用が有意であった。ギター評定は全感情で最も低く、琵琶と笛子は比較的高かった。西洋楽器では、高い方からヴァイオリン、フルート、ギターの順であった。

図4 Listener group と楽器カテゴリ・楽器文化の三要因交互作用
図4. listener group、楽器カテゴリ、楽器文化の三要因交互作用が、価数・緊張覚醒・好みに与える結果。

listener group 間の知覚評定差

listener group の主効果と、それが楽器カテゴリ、楽器文化、音楽感情、音楽文化と交互作用する三要因効果を、3 つの知覚感情評定、好み、親近性について検討した(補足表 S2)。listener group の主効果は、エネルギー覚醒を除くすべての評定で有意であった。

listener group、楽器カテゴリ、楽器文化の三要因交互作用は、価数、緊張覚醒、好みでは有意であった(Figure 4)が、エネルギー覚醒と親近性では有意でなかった。価数では、楽器カテゴリと楽器文化を 1 つの要因にまとめた simple effect analysis により、ヴァイオリン〔F(3, 156) = 5.44, p = 0.001, η²p = 0.09〕、ギター〔F(3, 156) = 8.9, p < 0.001, η²p = 0.15〕、フルート〔F(3, 156) = 10.06, p < 0.001, η²p = 0.17〕、二胡〔F(3, 156) = 9.71, p < 0.001, η²p = 0.16〕で listener group 間の平均評定差が有意であったが、琵琶〔F(3, 156) = 0.99, p = 0.40〕と笛子〔F(3, 156) = 1.71, p = 0.17〕では有意でなかった。有意差は楽器によって異なった。ギターと二胡では、西洋聴取者の平均評定が中国聴取者より有意に高かった。ヴァイオリンでは、西洋聴取者の平均評定が中国非音楽家より有意に高かった。これらは、参加者の文化的背景が知覚価数に大きく影響したことを示している。

緊張覚醒では、ヴァイオリン〔F(3, 156) = 3.37, p = 0.02, η²p = 0.06〕、ギター〔F(3, 156) = 2.99, p = 0.033, η²p = 0.05〕、琵琶〔F(3, 156) = 11.45, p < 0.001, η²p = 0.18〕、笛子〔F(3, 156) = 8.04, p < 0.001, η²p = 0.13〕で listener group 間差が有意であり、二胡〔F(3, 156) = 0.99, p = 0.40〕とフルート〔F(3, 156) = 1.71, p = 0.17〕では有意でなかった。ヴァイオリンでは、西洋音楽家の平均評定が中国非音楽家より高かった。琵琶では、西洋聴取者の平均評定が中国非音楽家より高く、西洋音楽家は中国音楽家よりも有意に高かった。笛子では、西洋音楽家が中国聴取者よりも有意に高く評定した。ギターでは、西洋音楽家の平均評定が西洋非音楽家より有意に高かった。これらから、緊張覚醒の知覚には音楽的背景よりも文化的背景の方が強く影響したことが分かる。

好みでは、ヴァイオリン〔F(3, 156) = 4.42, p = 0.005, η²p = 0.08〕、二胡〔F(3, 156) = 40.23, p < 0.001, η²p = 0.44〕、琵琶〔F(3, 156) = 4.4, p = 0.005, η²p = 0.08〕で listener group 間差が有意であったが、ギター〔F(3, 156) = 0.80, p = 0.50〕、フルート〔F(3, 156) = 0.73, p = 0.54〕、笛子〔F(3, 156) = 0.87, p = 0.46〕では有意でなかった。ヴァイオリンでは音楽家の平均評定が非音楽家より高かった。二胡では中国音楽家の評定が最も高く、中国非音楽家の評定も西洋聴取者より高かった。琵琶では、中国音楽家の平均評定が西洋非音楽家より有意に高かった。すなわち、好みには文化的背景と音楽的背景の両方が影響し、その影響は中国楽器で演奏された抜粋においてより顕著であった。

図5 音楽文化・音楽感情・listener group の三要因交互作用
図5. 音楽文化、音楽感情、listener group の三要因交互作用が、価数・緊張覚醒・エネルギー覚醒・好み・親近性に与える結果。

listener group、音楽文化、音楽感情の三要因交互作用は Figure 5 に示す。価数について、意図感情と音楽文化ごとに simple effect analysis を行うと、peaceful 音楽〔西洋: F(3, 156) = 6.27, p < 0.001, η²p = 0.04、中国: F(3, 156) = 5.28, p = 0.002, η²p = 0.03〕と sad 音楽〔西洋: F(3, 156) = 27.71, p < 0.001, η²p = 0.15、中国: F(3, 156) = 3.67, p = 0.014, η²p = 0.03〕で listener group 間の差が有意であったが、angry 音楽〔西洋: F(3, 156) = 1.45, p = 0.23、中国: F(3, 156) = 0.93, p = 0.43〕と happy 音楽〔西洋: F(3, 156) = 0.73, p = 0.54、中国: F(3, 156) = 0.08, p = 0.97〕では有意でなかった。中国の sad 音楽と西洋の peaceful 音楽を聴いたとき、西洋聴取者の平均評定は中国聴取者より有意に高かった。西洋の sad 音楽では、西洋非音楽家の評定が中国非音楽家より有意に高かった。中国の peaceful 音楽では、中国非音楽家の評定が他の listener group よりかなり低かった。

緊張覚醒では、angry 音楽〔西洋: F(3, 156) = 10, p < 0.001, η²p = 0.16、中国: F(3, 156) = 8.17, p < 0.001, η²p = 0.14〕、happy 音楽〔西洋: F(3, 156) = 19.15, p < 0.001, η²p = 0.27、中国: F(3, 156) = 12.09, p < 0.001, η²p = 0.19〕、中国の sad 音楽〔F(3, 156) = 5.07, p = 0.002, η²p = 0.09〕で有意差があったが、peaceful 音楽〔西洋: F(3, 156) = 1.82, p = 0.15、中国: F(3, 156) = 0.49, p = 0.69〕と西洋の sad 音楽〔F(3, 156) = 0.75, p = 0.52〕では有意でなかった。中国の angry 音楽および中国・西洋の happy 音楽では、西洋聴取者の平均評定が中国聴取者より有意に高かった。逆に中国の sad 音楽では、中国聴取者の評定の方が西洋音楽家より高かった。西洋の angry 音楽では、音楽家の評定が非音楽家より有意に高かった。5 は中立値を意味するため、西洋の angry 音楽に対する音楽家の評定は、非音楽家よりも中立値から明確に離れていた。したがって、緊張覚醒には旋律の音楽文化と音楽訓練の双方が影響した。

エネルギー覚醒では、中国の peaceful 音楽〔F(3, 156) = 2.7, p = 0.047, η²p = 0.02〕、およびすべての angry 音楽〔中国: F(3, 156) = 5.24, p = 0.002, η²p = 0.09、西洋: F(3, 156) = 2.37, p = 0.047〕、happy 音楽〔中国: F(3, 156) = 3.28, p = 0.023, η²p = 0.06、西洋: F(3, 156) = 2.82, p = 0.041, η²p = 0.05〕で listener group 間差が有意であったが、中国の sad 音楽〔F(3, 156) = 1.32, p = 0.27〕とその他の西洋音楽〔peaceful: F(3, 156) = 0.92, p = 0.43、sad: F(3, 156) = 0.17, p = 0.92〕では有意でなかった。中国の angry 音楽では、西洋聴取者の平均評定が中国聴取者より高かった。中国および西洋の happy 音楽では、西洋聴取者の平均評定が中国非音楽家より高かった。中国の peaceful 音楽では、中国音楽家の平均評定が西洋音楽家より高かった。これらから、エネルギー覚醒に対しても音楽的背景より文化的背景の方がより大きな影響を及ぼしたことが分かる。

好みでは、listener group と音楽感情の交互作用が中国音楽〔F(9, 468) = 3.88, p < 0.001, η²p = 0.07〕、西洋音楽〔F(9, 468) = 4.22, p < 0.001, η²p = 0.08〕の双方で有意であった。中国音楽家の平均評定は、すべての中国音楽において他の 3 群よりかなり高かった。西洋の angry 音楽では、音楽家の平均評定が非音楽家より高かった。西洋の happy 音楽では、音楽家の平均評定が西洋非音楽家より有意に高かった。

親近性では、listener group と音楽感情の交互作用が中国音楽〔F(9, 468) = 5.48, p < 0.001, η²p = 0.10〕、西洋音楽〔F(9, 468) = 8.14, p < 0.001, η²p = 0.14〕の双方で有意であった。中国音楽家の平均評定は、中国音楽すべてについて他の 3 群より有意に高く、彼らが中国音楽に非常に親しんでいたことを示した。中国非音楽家も、中国の angry 音楽と happy 音楽には親しんでいた。西洋聴取者は中国音楽にはほとんど親しんでいなかった。西洋音楽家は、西洋の angry 音楽を除く大部分の西洋音楽に親しんでいた。中国聴取者は西洋音楽にも親しんでおり、この結果は参加者質問紙の結果とも一致した。西洋非音楽家は、西洋の peaceful 音楽を除く大部分の西洋音楽には親しんでいなかった。

図6 listener group・楽器文化・音楽文化の三要因交互作用
図6. listener group、楽器文化、音楽文化の三要因交互作用が、緊張覚醒と好みに与える結果。CI = Chinese instruments、CM = Chinese music、WI = Western instruments、WM = Western music。

listener group、楽器文化、音楽文化の三要因交互作用は、緊張覚醒と好みでのみ有意であった。緊張覚醒(Figure 6)について、simple effect analysis の結果、中国楽器で演奏された中国音楽〔F(3, 156) = 8.78, p < 0.001, η²p = 0.14〕と、中国楽器で演奏された西洋音楽〔F(3, 156) = 6.50, p < 0.001, η²p = 0.13〕では listener group 間差が有意であったが、西洋楽器で演奏された中国音楽〔F(3, 156) = 0.62, p = 0.61〕および西洋楽器で演奏された西洋音楽〔F(3, 156) = 2.5, p = 0.06〕では有意でなかった。中国楽器で演奏された中国音楽では、西洋聴取者の評定が中国聴取者より高く、これは緊張覚醒に対して内集団優位が影響したことを示している。中国楽器で演奏された西洋音楽では、西洋音楽家の評定が中国非音楽家より高く、緊張覚醒知覚には音楽文化よりも楽器文化の方が強く影響する可能性を示した。

好みについては、中国楽器で演奏された中国音楽〔F(3, 156) = 31.54, p < 0.001, η²p = 0.38〕、西洋楽器で演奏された中国音楽〔F(3, 156) = 9.36, p < 0.001, η²p = 0.15〕、中国楽器で演奏された西洋音楽〔F(3, 156) = 2.99, p = 0.033, η²p = 0.05〕では listener group 間差が有意であったが、西洋楽器で演奏された西洋音楽〔F(3, 156) = 0.41, p = 0.74〕では有意でなかった。効果量から、listener group 間の好み差が最も大きかったのは、中国楽器で演奏された中国音楽を聴いた場合であり、とくに中国音楽家と西洋参加者との差が顕著であった。

知覚感情評定・好み・親近性の相関分析

上記分析は、4 つの listener group の知覚が複数要因で有意に異なることを示した。3 つの感情次元間の相関が listener group によってどう異なるか、また好みと親近性が感情知覚にどう影響するかを探るため、48 条件に対する参加者平均評定(価数、緊張覚醒、エネルギー覚醒、好み、親近性)に基づき、listener group ごとに Pearson 相関分析を行った(表3)。価数とエネルギー覚醒は、すべての listener group で強い正の相関を示した。緊張覚醒とエネルギー覚醒は、西洋非音楽家では中程度の負の相関、西洋音楽家では強い負の相関であったが、中国聴取者では相関がなかった。好みと価数の正の相関は、音楽家よりも非音楽家で顕著であり、音楽家は価数と好みをよりよく区別していたことを示す。中国聴取者では、親近性は価数とエネルギー覚醒に中程度の正相関を示したが、緊張覚醒とはごく弱い正相関であった。西洋聴取者では、親近性は他の知覚評定とごく弱い、あるいは弱い相関しか示さなかった。中国聴取者は刺激の大部分に親しんでいたため、これらの結果は、音楽への親近性が価数とエネルギー覚醒の知覚に影響しうることを示唆している。さらに、中国非音楽家では親近性と好みの間に弱い正相関があった。

表3. 知覚価数、緊張覚醒、エネルギー覚醒、好み、親近性の評定に関する Pearson 相関係数
尺度 Western nonmusician Western musician
ValenceTensionEnergyPreference ValenceTensionEnergyPreference
Tension-0.24-0.19
Energy0.91***-0.61***0.78***-0.75***
Preference0.54***-0.49***0.23-0.11-0.47**-0.31*
Familiarity-0.270.32*-0.40**0.18-0.29*-0.08-0.240.07
尺度 Chinese nonmusician Chinese musician
ValenceTensionEnergyPreference ValenceTensionEnergyPreference
Tension-0.27-0.49***
Energy0.96***-0.010.91***-0.11
Preference0.74***-0.47**0.68***0.44**-0.48**0.36*
Familiarity0.51***0.220.60***0.46**0.51***0.080.58***0.26

df = 46. * p < 0.05; ** p < 0.01; *** p < 0.001.

6 楽器間の階層的クラスタ分析

楽器間で感情知覚がどれほど似ているかを探るため、知覚価数、緊張覚醒、エネルギー覚醒の参加者平均評定に基づき、6 楽器間の階層的クラスタ分析を行った。近接度尺度には squared Euclidean distance を用いた。結果(Figure 7)によれば、二胡とヴァイオリンは非常に類似し、琵琶と笛子にもやや類似していたが、ギターとフルートとは大きく異なっていた。琵琶と笛子は非常に類似し、ギターとフルートも非常に類似していた。

図7 6楽器間の階層的クラスタ分析
図7. 知覚価数、緊張覚醒、エネルギー覚醒の参加者平均評定に基づく 6 楽器間の階層的クラスタ分析。

部分最小二乗回帰(PLSR)

PLSR は、音響特徴と知覚感情評定との関係を調べるために実施した。PLSR は重回帰と主成分分析を結びつけるもので、変数間の共線性を許容しつつ、共線的な変数を主成分(PC)で簡潔に表現できる(Geladi and Kowalski, 1986)。6-fold cross-validation モデルを適用し、n 個のケースを 6 つの部分集合に分け、5 集合で学習し残り 1 集合の予測誤差を評価した。この手順を全組合せで繰り返した。PLSR の性能評価には R² と Q² を用いた。R² は説明力、Q² は予測力を表す(McAdams et al., 2017; Lembke et al., 2019)。各独立変数の相対的重要性は variable importance in projection(VIP)スコアで評価し、一般に VIP > 1 を有意寄与とみなした(Chong and Jun, 2005; Janes et al., 2008)。アルゴリズムには MATLAB 実装の SIMPLS(De Jong, 1993)を用いた。

本研究での PLSR 独立変数は、48 刺激それぞれの 18 音響特徴(表2)であった。ANOVA 結果から、参加者の文化的背景が感情知覚に大きく影響したため、従属変数は西洋参加者と中国参加者それぞれの価数、緊張覚醒、エネルギー覚醒の平均評定、計 6 変数とした。交差検証により計算した Q² 基準(Stone, 1974; Titin et al., 2018)に基づき、3 つの感情次元すべてで 2 つの PC を有意成分とみなした。すなわち、予測分散 Q² が 0.05 を上回る PC を採用した。3 感情次元それぞれのモデル性能を表4に示す。

表4. 知覚価数、緊張覚醒、エネルギー覚醒を予測する PLSR モデルの R² と Q²、および 2 つの主成分に沿った成分別寄与
従属変数 Western participants Chinese participants
PC1PC2 PC1PC2
Valence0.480.320.220.380.550.440.320.31
Tension arousal0.700.650.440.180.360.220.440.13
Energy arousal0.700.620.370.250.670.600.380.25

価数

Figure 8 は、価数について 2 つの PC 上における PLSR の loadings(ベクトル)と scores(円)を可視化したものである。色の異なる円は異なる楽器で演奏された刺激を表す。ベクトルが長いほど、その音響特徴 loading の寄与が強く、向きはどの PC に主として影響されているかを示す。

西洋参加者の PLSR 結果は中国参加者の結果と非常に似ているが、2 PC による説明分散割合には違いがある。両群とも PC1 は 2 つの要因に関連していた。1 つは spectral flux によって表されるスペクトル時間特徴であり、もう 1 つは event density、有効持続時間、アタック時間で記述される時間特徴である。PC1 の正方向座標をもつ音楽刺激は、時間に伴うスペクトルエネルギー変動が大きく、短い音価で鋭いアタックをもって演奏されていた。琵琶で演奏された刺激の大半が PC1 の正スコアを示した。

PC2 は、スペクトル歪度、スペクトル尖度、スペクトル明るさ、スペクトル重心など、PC 軸にやや斜めに配置される共線的なスペクトル特徴集合の影響を受けているように見えた。PC2 座標がより負であることは、刺激がより高い高周波エネルギーとより広いスペクトル分布をもつことを意味する。ギターで演奏されたすべての刺激と、フルートおよび琵琶の大半は PC2 正スコアを示した一方、笛子のすべての刺激と、二胡およびヴァイオリンの大半は PC2 負スコアを示した。

図8 価数に対する PLSR の二主成分 loadings と scores
図8. 価数に対する PLSR の 2 主成分上の loadings と scores。(A) Western participants, (B) Chinese participants.

緊張覚醒

Figure 9 は、緊張覚醒に関する PLSR の 2 PC 上の loadings と scores を示す。西洋参加者と中国参加者の結果は異なる。西洋参加者では、PC1 は、スペクトル平坦度、スペクトルエントロピー、スペクトル重心、スペクトル歪度など、音がどれほどノイズ的か、またスペクトルエネルギー分布をどのように表すかを定量化するスペクトル特徴と強く関連していた。PC1 の正方向座標が大きいほど、音楽刺激は高周波エネルギーが多く、スペクトル分布が広く、よりノイズ的である。Scores からは、笛子で演奏されたすべての刺激と、琵琶で演奏された刺激の大半が PC1 正スコアをもつ一方、ギターの全刺激とフルートの大半は PC1 負スコアを示したことが分かる。PC2 は、PC 軸にやや斜めに配置される時間特徴、すなわち有効持続時間、アタック時間、event density の SD、振幅変調の影響を受けた。PC2 の正方向座標をもつ刺激は、より短い音価とビブラート・アーティキュレーションで演奏されていた。

中国参加者では、PC1 は、スペクトル歪度、スペクトル尖度、スペクトル明るさ、スペクトル重心など、スペクトルエネルギー分布を記述するスペクトル特徴と強く関連していた。PC1 の正方向座標が大きいほど、刺激はより高い高周波エネルギーをもつ。PC2 は、有効持続時間、アタック時間、ERB フレームエネルギーといった、PC 軸にやや斜めに置かれた時間特徴の影響を受けていた。

図9 緊張覚醒に対する PLSR の二主成分 loadings と scores
図9. 緊張覚醒に対する PLSR の 2 主成分上の loadings と scores。(A) Western participants, (B) Chinese participants.

エネルギー覚醒

Figure 10 は、平均エネルギー覚醒評定に関する PLSR の 2 PC 上の loadings と scores を可視化したものである。西洋参加者と中国参加者の結果はほぼ同じであった。PC1 は 2 つの音響特徴、すなわちスペクトル平坦度とスペクトルフラックスと強く関連していた。PC1 の正方向座標が大きいほど、刺激は時間に伴うスペクトルエネルギー変動が大きく、ノイズ性が高い。Scores からは、琵琶と笛子で演奏された刺激の大半が PC1 正スコアを示し、ギターで演奏された刺激の大半が PC1 負スコアを示したことが分かる。

PC2 は 2 つの要因の影響を受けていた。第一に、アタック時間と有効持続時間によって記述される時間特徴。第二に、スペクトル歪度、スペクトル尖度、スペクトル明るさ、スペクトル重心など、PC 軸にやや斜めに位置するスペクトル特徴である。PC2 負座標の刺激は、より高い高周波エネルギー、より広いスペクトル分布、より短い音価で演奏されていた。PLSR の scores は、笛子で演奏されたすべての刺激が PC2 負スコアを、ギターで演奏されたすべての刺激が PC2 正スコアをもつことを示した。

図10 エネルギー覚醒に対する PLSR の二主成分 loadings と scores
図10. エネルギー覚醒に対する PLSR の 2 主成分上の loadings と scores。(A) Western participants, (B) Chinese participants.

各感情次元における重要音響特徴

VIP スコアが 1 を超える特徴を重要特徴とみなし、各感情次元の重要音響特徴を同定した。上位 5 特徴は補足表 S4 に示した。価数については、西洋参加者と中国参加者の間で大きな差はなかった。最も重要な特徴は spectral flux であった。effective duration、attack time、event density はいずれも時間特徴であり、演奏技法に関連していた。要するに、より高い価数は、より大きなスペクトル変動、鋭いアタックをもつよりインパルシブな音符包絡(スタッカートやピチカートなど)、そしてより大きなダイナミックレンジと関連していた。上では正の価数が高周波エネルギーとも相関すると述べたが、クロスカルチュラル・データセットに基づくと、高周波エネルギーは最重要因子とは言えなかった。

緊張覚醒に影響する音響特徴は、中国参加者と西洋参加者でかなり異なっていた。西洋参加者では、高い緊張覚醒をもつ刺激は、時間に伴うスペクトルエネルギー変動が大きく、スペクトル分布が広く、ノイズ性が高く、鋭い減衰を伴う。一方、中国参加者では、より高い緊張覚醒は、異なる音価をもつビブラート、より大きな時間エネルギー、より広いスペクトル分布、より高い高周波エネルギーと整合していた。

エネルギー覚醒に対する重要音響特徴は価数の結果と類似しており、両文化群の聴取者間の差は小さかった。最も重要な特徴はやはり spectral flux であった。より高いエネルギー覚醒は、より大きなスペクトル変動、より鋭いアタックをもつインパルス型の音符包絡、そしてより大きなダイナミックレンジに対応していた。

考察

本研究の主目的は、(1) 西洋クラシック音楽と中国クラシック音楽において、異なる感情特性をもつ楽曲の感情知覚に音色がどのような影響を及ぼすか、(2) 参加者の文化的背景、音楽的背景、好み、親近性が、このクロスカルチュラル・データセットに基づく感情知覚に影響するか、(3) PLSR の結果によれば、感情の異なる次元に関与する最も有効な音響特徴は何か、という 3 点を検討することであった。

感情知覚に対する音色の影響

知覚価数の結果は、いかなる音楽文化・音楽感情においても、二胡が最も低い評定を受けたことを示した。中国音楽か西洋音楽かに関わらず、撥弦楽器の価数評定は比較的高く、擦弦楽器の評定は比較的低かった。価数に関する PLSR モデルの scores と loadings を組み合わせると、すべてのギター刺激が PC2 正スコアを、多くの琵琶刺激が PC1 正スコアをもっていた。これは、正の価数が、低周波優勢のスペクトルエネルギー、高いスペクトル変動、鋭いアタックを伴う短い音価と関連していることを意味する。高周波対低周波エネルギー比が低いほど価数が高いという正相関は、過去の知覚研究でも報告されている(Kidd and Watson, 2003; Ilie and Thompson, 2006; Eerola et al., 2013)が、McAdams et al.(2017)は逆の観察を報告している。

音楽文化や音楽感情とは独立に、緊張覚醒評定はギターが最も低く、フルートが 2 番目に低く、他の楽器は概ね類似していた。笛子は happy、peaceful、sad 音楽で最も高いスコアを示した。緊張覚醒に関する PLSR モデルの scores と loadings では、すべてのギター刺激と多くのフルート刺激が PC1 負スコアを示し、すべての笛子刺激が PC1 正スコアを示した。これは、より高い緊張覚醒が、より高い高周波エネルギー、より広いスペクトル分布、よりノイズ的なスペクトルと相関することを示している。この高周波エネルギーに関する知見は、音楽(McAdams et al., 2017)と音声(Banse and Scherer, 1996; Johnstone and Scherer, 2000)の感情知覚に関する先行研究と一致する。

知覚エネルギー覚醒評定では、ギターが最も低く、琵琶と笛子の多くが比較的高いスコアを示した。PLSR モデルの scores と loadings によれば、ギターで演奏されたすべての刺激は PC2 正スコアを、笛子のすべてと琵琶の大半は PC1 正スコアを示した。これらの結果は、より高いエネルギー覚醒が、より大きなスペクトル変動、よりノイズ的なスペクトル、より高い高周波エネルギー、そして鋭いアタックを伴う短い音価によって担われていることを示している。これは、より高いエネルギー覚醒が明るい音(Eerola et al., 2013; McAdams et al., 2017)や鋭いアタック(Eerola et al., 2013)と相関するという多くの研究と整合する。

PLSR とクラスタ分析の結果を合わせると、楽器間の感情知覚の類似性は、主として楽器の物理特性や演奏技法によってもたらされる音色関連音響特徴の類似性と整合しているように思われる。これらの音響特徴には 2 つの主要側面がある。1 つはスペクトル重心、スペクトル明るさ、スペクトル歪度、スペクトル広がりで特徴づけられるスペクトルエネルギー分布であり、もう 1 つはアタック時間、振幅変調、有効持続時間、イベント密度で特徴づけられる、スタッカート、ビブラート、レガートといったアーティキュレーションに関わる音符の時間包絡形状である。

listener group 間の差異

総じて、参加者の文化的背景は音楽的背景よりも感情知覚に大きな影響を及ぼしたが、両者とも一定の役割を果たした。中国参加者と西洋参加者の間の知覚差は、価数と緊張覚醒でより顕著であった。楽器や音楽の文化的起源に関わらず、西洋参加者は通常、中国参加者よりもこれらの感情次元で有意に高いスコアを示した。たとえば、知覚価数に対する西洋参加者の評定は、すべての楽器で中国参加者より高かったが、これは表現様式に関連している可能性がある。Cohen and Gunz(2002)は、西洋人は自己中心的な感情視点を他者に投影しやすく、東洋人は関係志向的投影に従事しやすいと論じている。本研究の観点からは、西洋参加者の意見表明はより直接的であり、中国参加者の表現はより含意的であると考えられる。したがって、西洋参加者の価数スコアは中立値 5 からより大きく逸脱した。また、この差は親近性とも相関している可能性がある。西洋参加者は、とくに琵琶と笛子といった中国楽器を聴いた際に、中国参加者よりも高い緊張覚醒スコアを与えた。これは、西洋参加者が中国楽器に馴染みがなく、そのため緊張が喚起されやすかった、あるいは馴染みのなさそれ自体が緊張を誘発し、知覚評定に影響したためかもしれない。

音楽家は非音楽家よりも感情知覚においてより正確である、という仮説と一致した観察は 1 点だけであった。すなわち、西洋の angry 音楽を聴いた際、音楽家の緊張覚醒スコアが非音楽家より有意に高かったことである。音楽家のスコアは非音楽家よりも中立値 5 から大きく逸脱しており、長年の音楽訓練と文化化によって、彼らは判断により自信をもっていた可能性がある。

内集団優位が感情知覚に与える影響については、中国楽器で中国音楽を演奏した場合に、中国参加者と西洋参加者の間で知覚緊張覚醒評定の差が最も大きかった。この現象は好み評定でさらに明確であった。中国楽器と中国音楽の組み合わせは同文化に対する認知が高いため、中国参加者のそれに対する好みは西洋参加者より有意に高かった。

好みと親近性も感情知覚に影響し、参加者群間で有意差があった。好みは、西洋非音楽家では価数と中程度に、中国非音楽家では強く相関したが、音楽家では弱い、あるいは非常に弱い相関しか示さなかった。これは、非音楽家が、知覚された尺度としての価数と、感じられた尺度としての好みを混同しやすいことを示す。中国参加者における親近性の価数およびエネルギー覚醒への影響はより顕著であった。これは、西洋音楽が中国で広く浸透しており、中国参加者が刺激の大部分のスタイルに親しんでいることを意味する。したがって、参加者が刺激に親しんでいる場合、親近性は価数とエネルギー覚醒評定に潜在的に役割を果たすと推測できる。ただし、親近性と緊張覚醒の相関は非常に弱かった。

中国非音楽家では、親近性は好みと正に相関していた。反復が好みに与える効果については、2 つの結論候補が考えられる。1 つは mere exposure(Zajonc, 2001)であり、もう 1 つは inverted-U theory(Hargreaves, 1986)である。Zajonc(2001)によれば、mere exposure によって生じる好みは、主観的な親近感ではなく、客観的な接触履歴に依存する。一方、inverted-U theory によれば、初めは馴染みのない音楽への好みは低いが、接触と親近性の増加につれて頂点まで上昇し、その後さらに接触が増えると低下する。本研究では、中国非音楽家でのみ好みと親近性の相関があり、他の listener group では両者に関係がなかった。この知見は、mere exposure よりも inverted-U theory と整合的である。実験刺激への親近性は、高い順に中国音楽家、中国非音楽家、西洋参加者であった。したがって、inverted-U theory によれば、最も高い好みを喚起するのは中程度の親近性であり、中国非音楽家がその状況に該当する。

演奏表現の限界

本研究には演奏表現に関する限界がある。各条件に含まれた演奏者は 1 名のみであった。Juslin(2000)が提案した lens model によれば、異なる演奏者はアーティキュレーションや音圧レベルなど複数の可変的手がかりを用いて特定感情を表現する。本研究では、演奏表現の偏りが、音楽素材や楽器音色における文化差を生み、それが聴取者の感情知覚へ影響した可能性がある。Juslin(2000)は、プロ演奏者の方が特定感情を伝えるための手がかり利用においてより一貫しており、演奏者間の分散は、演奏者の手がかり利用が聴取者の手がかり利用とどの程度一致するかに依存することを見いだした。こうした知見がクロスカルチュラルな文脈でも成り立つかは明らかでない。したがって、異なる演奏者を用いたさらなる実験により、演奏表現の違いが感情知覚に与える影響について、より多くの情報を明らかにする必要がある。

結論

本研究は、クロスカルチュラルなアプローチを用いて、知覚感情評定に対する音色の影響を検討した。楽器間で知覚感情評定が似ていた理由は、特定の楽器の物理特性と演奏技法によって生じた類似の音色音響特徴にあった。楽器カテゴリも楽器文化も、主たる説明因子ではなかった。参加者の文化的背景は、音楽的背景よりも感情知覚に大きな影響を及ぼした。もちろん、長年の音楽訓練のため、音楽家はより明瞭な判断を示し、より複雑な感情知覚を示した。さらに、音楽家は価数のような知覚尺度と好みのような felt measure とをより明確に区別した。参加者が刺激に馴染んでいる場合、それは価数とエネルギー覚醒の知覚に潜在的役割を果たした。線形 PLSR の結果によれば、価数とエネルギー覚醒にとって重要な音響特徴は類似しており、主としてスペクトル変動、時間包絡の形状、ダイナミックレンジに関係していた。緊張覚醒に重要な音響特徴は、スペクトル包絡の形状、ノイズ性、時間包絡の形状を記述していた。

今後は、音色が感情知覚に与える影響が listener group によって異なるかどうか、および演奏表現や社会文化的要因など、その差異に関与しうる潜在要因、とくに言語や認知様式などの社会文化的要因が感情知覚にどのように寄与するかをさらに検討する必要がある。また、音楽の感情知覚は時間とともに動的に変化する。どの音楽要素がそうした感情変化を引き起こすのかを考慮することは、作曲やオーケストレーションのための有効な理論的枠組みを提供するだろう。

データ利用可能性声明

本研究で提示された元データは、論文本体および補足資料に含まれている。追加の問い合わせは責任著者に向けることができる。

倫理声明

ヒト参加者を含む本研究は、McGill University および Communication University of China の Research Ethics Board により審査・承認された。参加者は書面によるインフォームド・コンセントを提供した。

著者貢献

XW, LH, and SMc が研究を設計した。YW, XW, and LH がデータを収集した。XW が音響解析を行った。XW, YW, and SMc がデータ解析を行った。XW and SMc が原稿草稿を作成した。全著者が原稿を編集し、承認した。

資金

本研究は、Communication University of China の Science Foundation(HG1608-1)による XW への助成、および Canadian Natural Sciences and Engineering Research Council(RGPIN 2015-05280)、Fonds de recherche du Québec-Société et culture(SE-171434)、Canada Research Chair(950-223484)による SMc への助成によって支援された。

謝辞

著者らは、実験インターフェースのプログラミングを行った Bennett K. Smith と、刺激抜粋の録音に協力した音楽家たちに感謝する。補足資料に含まれる楽譜の公表については許可を得た。

補足資料

本論文の補足資料は、https://www.frontiersin.org/articles/10.3389/fpsyg.2021.732865/full#supplementary-material にて参照できる。

参考文献

  1. Alías, F., Socoró, J. C., and Sevillano, X. (2016). 音声・音楽・環境音のための物理的および知覚的特徴抽出技術のレビュー. Applied Sciences 6:143. doi: 10.3390/app6050143
  2. Argstatter, H. (2015). 音楽における基本感情知覚: 文化特異的か、それとも多文化的か. Psychology of Music 44, 674–690. doi: 10.1177/0305735615589214
  3. Athanasopoulos, G., Eerola, T., Lahdelma, I., and Kaliakatsos-Papakostas, M. (2021). 和声組織は音楽における感情表現の普遍的手がかりと文化特異的手がかりの両方を伝える. PLoS One 16:e0244964. doi: 10.1371/journal.pone.0244964
  4. Balkwill, L.-L., and Thompson, W. (1999). 音楽における感情知覚のクロスカルチュラル研究: 心理物理的手がかりと文化的手がかり. Music Perception 17, 43–64. doi: 10.2307/40285811
  5. Balkwill, L.-L., Thompson, W. F., and Matsunaga, R. (2004). 日本人聴取者による日本・西洋・ヒンドゥスターニー音楽の感情認知. Japanese Psychological Research 46, 337–349. doi: 10.1111/j.1468-5584.2004.00265.x
  6. Banse, R., and Scherer, K. R. (1996). 感情表出音声における音響プロファイル. Journal of Personality and Social Psychology 70, 614–636. doi: 10.1037/0022-3514.70.3.614
  7. Baraldi, F. B., de Poli, G., and Rodà, A. (2006). 単一のピアノ音で表現意図を伝える. Journal of New Music Research 35, 197–210. doi: 10.1080/09298210601045575
  8. Behrens, G. A., and Green, S. B. (1993). 声と3種類の楽器で演奏されたソロ即興の感情内容を同定する能力. Psychology of Music 21, 20–33. doi: 10.1177/030573569302100102
  9. Chau, C., Wu, B., and Horner, A. (2015). 非持続系楽器音の感情特性と音色. Journal of the Audio Engineering Society 63, 228–244. doi: 10.17743/jaes.2015.0016
  10. Chong, I. G., and Jun, C. H. (2005). 多重共線性が存在する場合の変数選択法の性能. Chemometrics and Intelligent Laboratory Systems 78, 103–112. doi: 10.1016/j.chemolab.2004.12.011
  11. Cohen, J. (1973). 固定要因 ANOVA 設計における eta-squared と partial eta-squared. Educational and Psychological Measurement 33, 107–112. doi: 10.1177/001316447303300111
  12. Cohen, D., and Gunz, A. (2002). 他者から見た自己: 東洋人と西洋人の記憶と感情知覚における自己の視点. Psychological Science 13, 55–59. doi: 10.1111/1467-9280.00409
  13. Cowen, A. S., Fang, X., Sauter, D., and Keltner, D. (2020). 音楽が私たちに感じさせるもの: 異文化を通じて少なくとも13次元が音楽に伴う主観経験を組織する. Proceedings of the National Academy of Sciences 117, 1924–1934. doi: 10.1073/pnas.1910704117
  14. Daimi, S. N., Jain, S., and Saha, G. (2020). ヒンディー語音楽ビデオが誘発する快・不快感情状態の認識に対する親近性の効果. In Advanced Computing and Intelligent Engineering, 227–238.
  15. De Jong, S. (1993). SIMPLS: 部分最小二乗回帰への代替的アプローチ. Chemometrics and Intelligent Laboratory Systems 18, 251–263. doi: 10.1016/0169-7439(93)85002-X
  16. Eerola, T., Ferrer, R., and Alluri, V. (2012). 音色と感情次元: 感情評定・類似度評定・孤立楽器音の音響相関からの証拠. Music Perception 30, 49–70. doi: 10.1525/mp.2012.30.1.49
  17. Eerola, T., Friberg, A., and Bresin, R. (2013). 音楽における感情表出: 主要音楽的手がかりの寄与、線形性、加法性. Frontiers in Psychology 4:487. doi: 10.3389/fpsyg.2013.00487
  18. Egermann, H., Fernando, N., Chuen, L., and McAdams, S. (2015). 音楽は感情関連の普遍的心理生理反応を誘発する: カナダの聴取者とコンゴのピグミーの比較. Frontiers in Psychology 5:1341. doi: 10.3389/fpsyg.2014.01341
  19. Elfenbein, H. A., and Ambady, N. (2002). 感情認知の普遍性と文化特異性について: メタ分析. Psychological Bulletin 128, 203–235. doi: 10.1037/0033-2909.128.2.203
  20. Fang, L., Shang, J., and Chen, N. (2017). 西洋音楽の旋法知覚: 中国人を対象とした研究. Frontiers in Psychology 8:1905. doi: 10.3389/fpsyg.2017.01905
  21. Farbood, M. M., and Price, K. (2014). 知覚される聴覚的・音楽的緊張に寄与する音色特徴. In Proceedings of the 13th International Conference for Music Perception and Cognition, 21–26.
  22. Fritz, T., Jentschke, S., Gosselin, N., Sammler, D., Peretz, I., Turner, R., et al. (2009). 音楽における3つの基本感情の普遍的認知. Current Biology 19, 573–576. doi: 10.1016/j.cub.2009.02.058
  23. Gabrielsson, A., and Lindström, E. (2010). 感情の音楽表出における構造の役割. In Handbook of Music and Emotion: Theory, Research, Applications, 367–400.
  24. Geladi, P., and Kowalski, B. R. (1986). 部分最小二乗回帰: チュートリアル. Analytica Chimica Acta 185, 1–17. doi: 10.1016/0003-2670(86)80028-9
  25. Hargreaves, D. J. (1986). 音楽の発達心理学. Cambridge University Press.
  26. Heng, L. (2018). 西洋芸術音楽と中国音楽伝統における、演奏者と聴取者間の感情伝達における音色. Master dissertation. McGill University.
  27. Howell, D. C. (2012). 心理学のための統計的方法. 8th Edn. Thompson Wadsworth.
  28. Hu, X., and Yang, Y. (2017). データセット横断・文化横断の音楽ムード予測: 西洋ポップソングと中国ポップソングの事例. IEEE Transactions on Affective Computing 8, 228–240. doi: 10.1109/TAFFC.2016.2523503
  29. Ilie, G., and Thompson, W. F. (2006). 感情の3次元に対する音楽と音声の音響手がかりの比較. Music Perception 23, 319–329. doi: 10.1525/mp.2006.23.4.319
  30. ISO 389-8 (2004). 聴力測定機器較正のための基準ゼロに関する音響規格 第8部. Geneva: International Organization for Standardization.
  31. ITU-R BS.1770-4 (2015). オーディオ番組ラウドネスおよび真ピーク音声レベル測定アルゴリズム. Geneva: International Telecommunications Union.
  32. Janes, K. A., Reinhard, H. C., and Yaffe, M. B. (2008). サイトカイン誘導シグナル伝達ネットワークは信号強度よりダイナミックレンジを優先する. Cell 135, 343–354. doi: 10.1016/j.cell.2008.08.034
  33. Johnstone, T., and Scherer, K. R. (2000). 感情の音声コミュニケーション. In Handbook of Emotions, Vol. 2, 220–235.
  34. Juslin, P. N. (2000). 音楽演奏における感情コミュニケーションの手がかり利用: 演奏と知覚の関連. Journal of Experimental Psychology: Human Perception and Performance 26, 1797–1813. doi: 10.1037//0096-1523.26.6.1797
  35. Kazazis, S., Esterer, N., Depalle, P., and McAdams, S. (2017). 校正済みテスト音に対する timbre toolbox と MIRToolbox の性能評価. In Proceedings of the 14th International Conference for Music Perception and Cognition, 144–147.
  36. Kidd, G. R., and Watson, C. S. (2003). 環境音の知覚次元性. Noise Control Engineering Journal 51, 216–231. doi: 10.3397/1.2839717
  37. Koo, T. K., and Li, M. Y. (2015). 信頼性研究のための級内相関係数の選択と報告に関するガイドライン. Journal of Chiropractic Medicine 15, 155–163. doi: 10.1016/j.jcm.2016.02.012
  38. Lahdelma, I., Athanasopoulos, G., and Eerola, T. (2021). 甘さは聴き手の耳の中にある: イギリスとパキスタンの聴取者における和音嗜好. Annals of the New York Academy of Sciences, 1–13. doi: 10.1111/nyas.14655
  39. Lartillot, O. (2019). MIRtoolbox 1.7.2 User’s Manual. University of Oslo.
  40. Lartillot, O., and Toiviainen, P. (2007). MIR in Matlab (II): 音声から音楽特徴を抽出するためのツールボックス. In Proceedings of the 8th International Conference on Music Information Retrieval, 237–244.
  41. Laukka, P., Eerola, T., Thingujam, N. S., Yamasaki, T., and Beller, G. (2013). 音楽的感情表出の認知と実演における普遍的要因と文化特異的要因. Emotion 13, 434–449. doi: 10.1037/a0031388
  42. Leman, M., Vermeulen, V., De Voogdt, L., Moelants, D., and Lesaffre, M. (2005). 音響構造的手がかりの組み合わせによる音楽感情予測. Journal of New Music Research 34, 39–67. doi: 10.1080/09298210500123978
  43. Lembke, S., Parker, K., Narmour, E., and McAdams, S. (2019). 音色ダイアドおよびトライアドにおける知覚融合の音響相関. Musicae Scientiae 23, 250–274. doi: 10.1177/1029864917731806
  44. Liu, M., and Liu, C. (2011). 中国古典音楽が感情喚起にもたらす生理的変化に関する研究. China Journal of Health Psychology 19, 618–620. doi: 10.13342/j.cnki.cjhp.2011.05.020
  45. Martin, F. N., and Champlin, C. A. (2000). 正常聴力の限界の再考. Journal of the American Academy of Audiology 11, 64–66.
  46. McAdams, S., Douglas, C., and Vempala, N. N. (2017). 音域をまたぐ楽器音の感情的性質の知覚とモデリング. Frontiers in Psychology 8:153. doi: 10.3389/fpsyg.2017.00153
  47. McAdams, S., Winsberg, S., Donnadieu, S., De Soete, G., and Krimphoff, J. (1995). 合成楽器音色の知覚尺度化: 共通次元、特異性、潜在被験者クラス. Psychological Research 58, 177–192. doi: 10.1007/BF00419633
  48. McLachlan, N., Marco, D., Light, M., and Wilson, S. (2013). 協和性と音高. Journal of Experimental Psychology: General 142, 1142–1158. doi: 10.1037/a0030830
  49. Midya, V., Valla, J., Balasubramanian, H., Mathur, A., and Singh, N. C. (2019). 音楽感情経験のための音響手がかり利用における文化差. PLoS One 14:e0222380. doi: 10.1371/journal.pone.0222380
  50. Moore, B. C., and Glasberg, B. R. (1983). 聴覚フィルタ帯域幅と励起パターンを計算するための提案式. Journal of the Acoustical Society of America 74, 750–753. doi: 10.1121/1.389861
  51. Peeters, G., Giordano, B. L., Susini, P., Misdariis, N., and McAdams, S. (2011). timbre toolbox: 音楽信号から音声記述子を抽出する. Journal of the Acoustical Society of America 130, 2902–2916. doi: 10.1121/1.3642604
  52. Raman, R., and Dowling, W. J. (2017). 南インド古典音楽(カルナーティック)の転調知覚: 学生音楽家と教師音楽家を対象としたクロスカルチュラル研究. Music Perception 34, 424–437. doi: 10.1525/mp.2017.34.4.424
  53. Russell, J. A. (1980). 感情の円環モデル. Journal of Personality and Social Psychology 39, 1161–1178. doi: 10.1037/h0077714
  54. Schimmack, U., and Grob, A. (2000). 中核感情の次元モデル: 構造方程式モデリングによる定量比較. European Journal of Personality 14, 325–345. doi: 10.1002/1099-0984(200007/08)14:4<325::AID-PER380>3.0.CO;2-I
  55. Schubert, E. (1999). 感情を連続的に測定する: 二次元感情空間の妥当性と信頼性. Australian Journal of Psychology 51, 154–165. doi: 10.1080/00049539908255353
  56. Sharma, G., Umapathy, K., and Krishnan, S. (2019). 音声信号特徴抽出法の動向. Applied Acoustics 158:107020. doi: 10.1016/j.apacoust.2019.107020
  57. Smith, B. K. (1995). PsiExp: IRCAM musical workstation を用いた心理音響実験環境. In Society for Music Perception and Cognition Conference.
  58. Stone, M. (1974). 統計的予測の交差検証による選択と評価. Journal of the Royal Statistical Society. Series B 36, 111–147. doi: 10.1111/j.2517-6161.1974.tb00994.x
  59. Thayer, R. E. (1986). 活性化-脱活性化チェックリスト: 現状概説と構造分析. Psychological Reports 58, 607–614. doi: 10.2466/pr0.1986.58.2.607
  60. Thompson, W. F., and Balkwill, L.-L. (2010). クロスカルチュラルな類似性と相違. In Handbook of Music and Emotion: Theory, Research, Applications, 755–788.
  61. Titin, A. N., Frederic, B., Myriam, M., and Nicolas, M. (2018). 欠測データを含む PLS 回帰における成分数の決定. Statistical Applications in Genetics and Molecular Biology 18:20180059. doi: 10.1515/sagmb-2018-0059
  62. Vuoskoski, J. K., and Eerola, T. (2010). 領域特異的か否か: 音楽誘発感情評価における異なる感情モデルの適用. In Proceedings of the 11th International Conference on Music Perception and Cognition, 196–199.
  63. Wang, X. (2018). 音色が音楽の感情知覚に及ぼす影響の比較分析. Undergraduate dissertation. Communication University of China.
  64. Watson, D., Clark, L. A., and Tellegen, A. (1988). ポジティブ感情とネガティブ感情の簡潔尺度 PANAS の開発と妥当化. Journal of Personality and Social Psychology 54, 1063–1070. doi: 10.1037/0022-3514.54.6.1063
  65. Weber, R. (1991). 「アナログ」カテゴリ手続きによる時間変動音の連続ラウドネス判断. In Fifth Oldenburg Symposium on Psychological Acoustics, 267–294.
  66. Wu, B., Horner, A., and Lee, C. (2014). 持続系楽器音における音楽感情と音色の対応. Journal of the Audio Engineering Society 62, 663–675. doi: 10.17743/jaes.2014.0037
  67. Zacharopoulou, K., and Kyriakidou, A. (2009). ギリシア伝統音楽における感情知覚に対する音楽構造特徴の役割のクロスカルチュラル比較研究. Journal of Interdisciplinary Music Studies 3, 1–15.
  68. Zajonc, R. B. (2001). 単純接触: 潜在意識への入り口. Current Directions in Psychological Science 10, 224–228. doi: 10.1111/1467-8721.00154
  69. Zentner, M., and Eerola, T. (2010). 乳児期における音楽へのリズム的関与. Proceedings of the National Academy of Sciences 107, 5768–5773. doi: 10.1073/pnas.1000121107
  70. Zhang, M., and Bocko, M. (2015). 音楽ビブラートの時間分析・操作・再合成. Proceedings of Meetings on Acoustics 22:035002. doi: 10.1121/1.4899987
  71. Zhang, L., and Pan, F. (2017). 感情反応におけるテンポと旋法の役割: 中国伝統音楽と西洋伝統音楽の比較. Psychological Exploration 37, 549–554.
  72. Zhang, J. D., Susino, M., McPherson, G. E., and Schubert, E. (2020). 音楽心理学における「音楽家」の定義: 文献レビューと6年ルール. Psychology of Music 48, 389–409. doi: 10.1177/0305735618804038

利益相反

著者らは、本研究が潜在的な利益相反とみなしうる商業的または金銭的関係の不存在下で行われたことを宣言する。

出版社注記

本論文で表明されたすべての主張は、著者自身のものであり、所属機関、出版社、編集者、査読者の見解を必ずしも代表するものではない。本論文で評価されるいかなる製品、あるいはその製造業者によるいかなる主張も、出版社によって保証または推奨されるものではない。

著作権とライセンス

Copyright © 2021 Wang, Wei, Heng and McAdams. 本論文は Creative Commons Attribution License(CC BY)の条件に従って配布されるオープンアクセス論文である。原著者および著作権者をクレジットし、本誌での原初掲載を学術慣行に従って引用する限り、他媒体での利用・配布・複製が認められる。これらの条件に適合しない利用・配布・複製は認められない。